Japanese Snow Fungus Tremella Mushroom Natural Extract Powder

Share on (11000000233265):


Price:

Quantity:


Product Overview

Description







Products Description




The main appeal points of WHITE JELLY FUNGUS EXTRACT are as follows.
・Suppresses hyperlipidemia
Action to activate enzymes that metabolize sugars
Interferes with fat accumulation (in vivo)
Interferes with fat absorption
Lowers triglyceride and cholesterol levels
Promotes bile acid secretion
Promotes the growth of Lactobacillus and Bifidobacterium

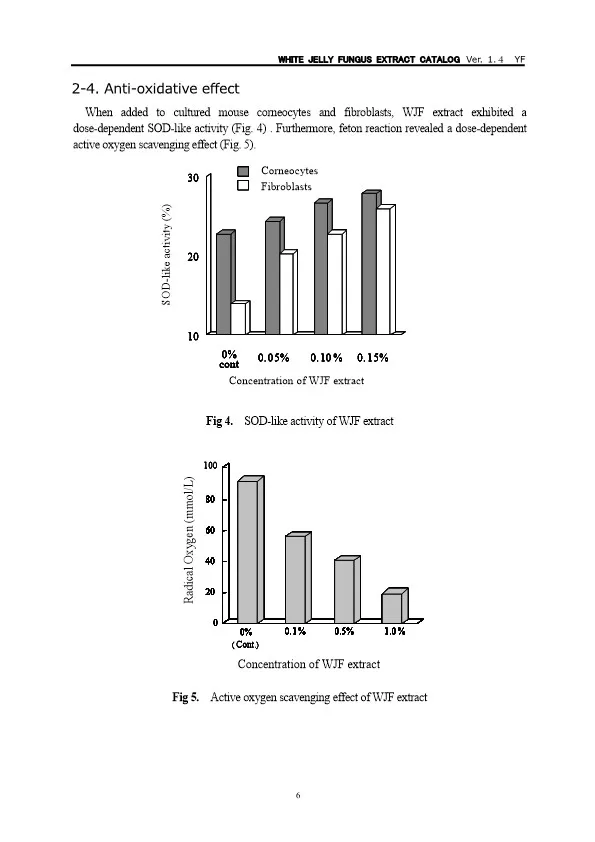
Please see the catalog below for detailed data.































Product Name
WHITE JELLY FUNGUS EXTRACT
Place Of Origin
JAPAN


Company Profile




Starting with rice bran oil production by compressing grains of rice, a practice deeply familiar to the Japanese, we've taken the wave of Japan's economic growth for a ride to enter markets like pharmaceuticals, health food and cosmetic materials. We've released a variety of products by extracting the powers of nature using scientific means.

Pursue the future's unknowable possibilities through the combination of nature and chemistry




0.1894 s.