Китай завод продавец 51118 тяги шаровой подшипник

Share on (1100012524074):


Price:

Quantity:


Product Overview

Description


Китай завод продавец 51118 тяги шаровой подшипник

(1)_01.jpg

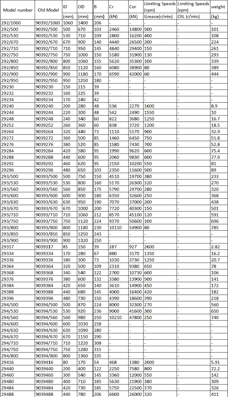
Список спецификации

-_02.jpg

 _01.jpg_02.jpg_03.jpg

Выставка продукта

(1)_04.jpg

Применение

(1)_05.jpg

Фабрика

(1)_06.jpg

Пакет и загрузки

-_07.jpg

О нас

-_08.jpg

Сертификаты

 -_09.jpg

Презентация

 -_10.jpg

-_12.jpg

1. Вы принимаете настроить?

Да. и минимальный объем заказа зависит от нужной Вам модели.

2. Как вы отправляете товар вашему клиенту?

Мы можем грузить товары через DHL TNT FedEx UPS, ARAMEX, воздушную и морскую доставку.

3. Сколько времени доставки после размещения заказ?

A. для товара в наличии, может Доставка в течение 1-2 дней.

B. для товаров, которые не имеют запаса, время доставки зависит от номера модели и количества заказ.

4. Вы предоставляете бесплатную консультационную услугу?

Да, до заказ, в любое время.

5. Как я могу связаться с вами?

Электронная WhatsApp, WeChat, facebook и т. д.

-_14.jpg

 


0.0181 s.