Cone Sleeve 2517 ACE European Standard Cone Sleeve 2517 35 48 Pulley Bushing Phosphating Blackened Cast Iron Cone Sleeve

Share on (1600250487542):


Price:

Quantity:


Product Overview

Description





Products Description


European standard taper bushes
High precision, compact structure, easy assembly and disassembly




Suitable for all kinds of transmission equipment:
pulley, coupling, flange, sprocket, synchronous wheel, gear


Selected HT250 Material  Durable
Anti rust and anti-corrosion
integrated molding
high bending and tensile hardness
good toughness
stable and firm


Corrosion resistance and heat resistance
Effective surface phosphating blackening treatment, 30% longer than the traditional life. Strong heat and corrosion resistance, not easy to rust


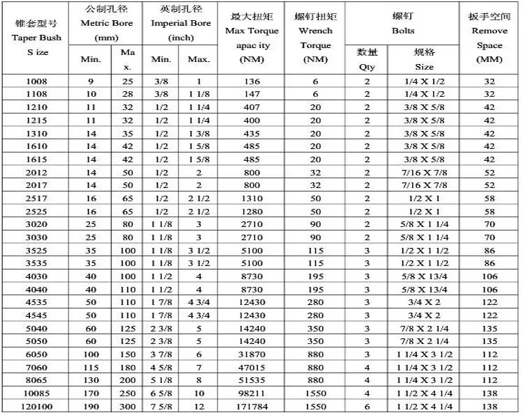
Product Paramenters










OEM process








Related product








Company Profile




Packing & Delivery






0.187 s.