Share on (1600279536615):
Size | 103.6*50.4*0.5mm |
Place of Origin | China |
Model Number | FLUX043A |
Feature | elastic, good for sports garment |
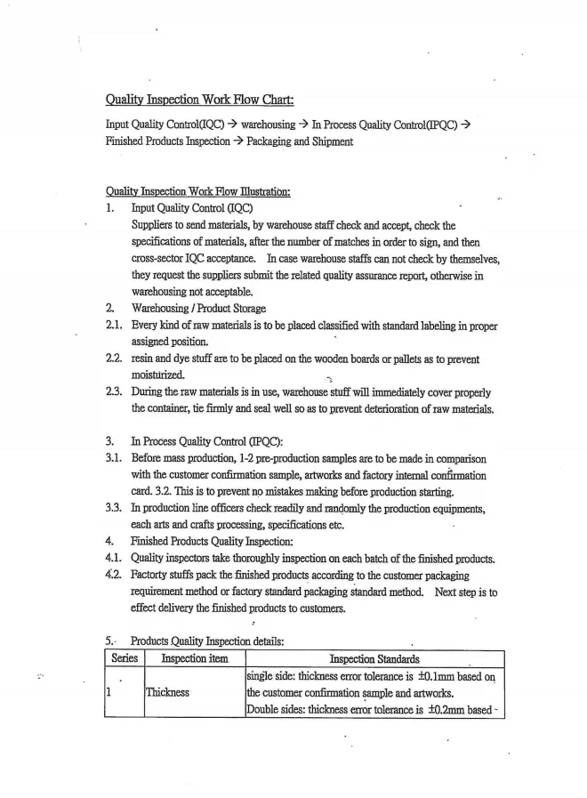
Test Report | Washing test report available |
Eco Standard | REACH |
Pricing Basic | EXW HK or China |









New products from manufacturers at wholesale prices