Promoters fat decomposition pure green coffee bean extract

Share on (1600315726006):


Price:

Quantity:


Product Overview

Description







Products Description




The main appeal points of COFFEE BEAN EXTRACT are as follows.
・Fat accumulation suppression
・Suppresses fat absorption, inhibits fat accumulation, promoters fat decomposition and fat burnibg
・Diabetes prevention
・Antioxidative effect

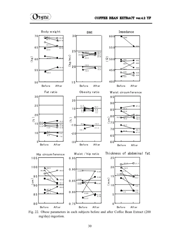
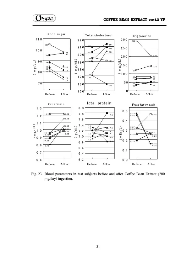
Please see the catalog below for detailed data.











































Product Name
COFFEE BEAN EXTRACT
Place Of Origin
JAPAN


Company Profile




Starting with rice bran oil production by compressing grains of rice, a practice deeply familiar to the Japanese, we've taken the wave of Japan's economic growth for a ride to enter markets like pharmaceuticals, health food and cosmetic materials. We've released a variety of products by extracting the powers of nature using scientific means.

Pursue the future's unknowable possibilities through the combination of nature and chemistry




0.4112 s.