Полный размер стальной для грузового прицепа грузовика бескамерные колеса диаметром 17,5/19,5/22,5/24,5 ширина 6,0/6,75/7,5/8,25/9,0/11,75 для бескамерных шин

Share on (1600353071509):


Price:

Quantity:


Product Overview

Description



Products Description




Our Company


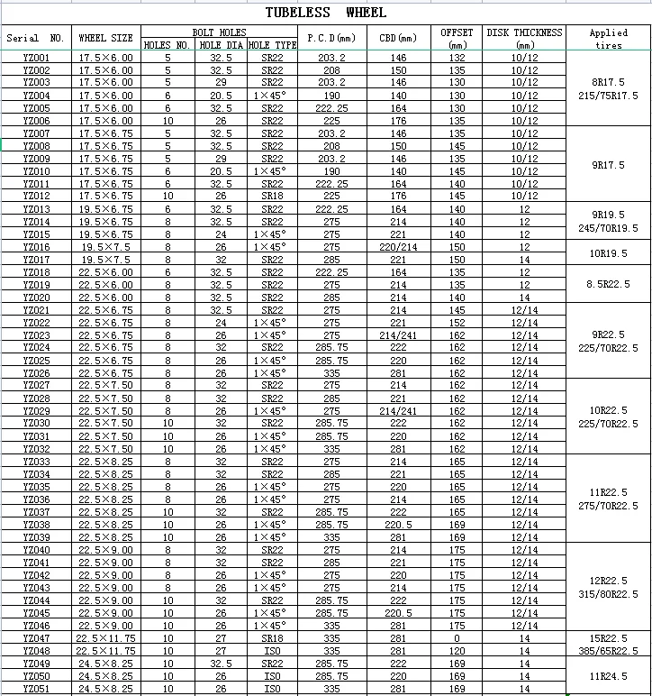
Tubeless  wheel
hot selling
good quality 
excellent appearence
reliable price







Warehouse

Our Warehouse

Workshop

Our Workshop



Certifications




Our Advantages


Advanced production equipments
Good quality and great variety
Rich experience and good reputation


Product packaging




FAQ


Semi-Automatic PET Bottle Blowing Machine Bottle Making Machine Bottle Moulding Machine
PET Bottle Making Machine is suitable for producing PET plastic containers and bottles in all shapes.




0.2307 s.