RVC RVE 10C 27C 50C 100C 200C 320C 20E 40E 80E 110W 160W 320W High Precision Reduction Gear Robot Arm Rv Gearbox Reducer

Share on (1600638893609):


Price:$300.00

Quantity:


Product Overview

Description





Model Selection









ZD Leader has a wide range of micro motor production lines in the industry, including DC Motor, AC Motor, Brushless Motor, Planetary Gear Motor, Drum Motor, Planetary Gearbox, RV Reducer and Harmonic Gearbox etc. Through technical innovation and customization, we help you create outstanding application systems and provide flexible solutions for various industrial automation situations.






















Product Description











Detailed Images

















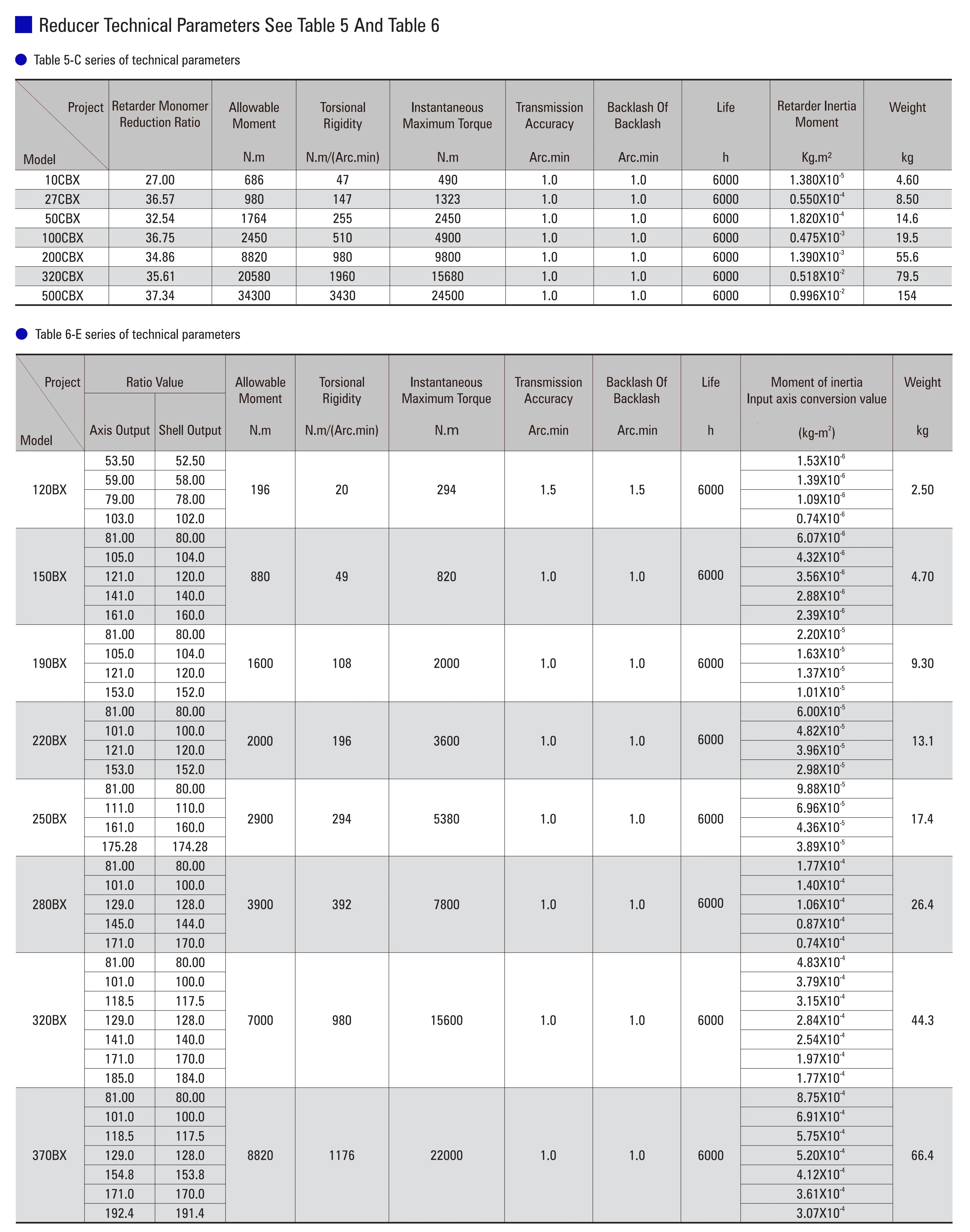
Product Parameters



































Also we do have Harmonic Drive Gearbox. Pls Contact Us For Details.




























Typical Application









Precision Cycloidal Gearbox is widely used in industrial machinery fields such as machine tool of four-five-axis, pick-up manipulator for die-casting, industrial robot, die-casting feeding machine, manipulator for punching machine, AGV d
river, bottle-making machine, UV Printer and etc.






















Other Products

















Why Choose Us




































Stock In Hand


Standard Type


Non-Standard Type


Customized Type


After Payment


In 10 Days


15-30 Days


Depend on the condition




0.386 s.