Share on (1600738657141):
Ptfe Tubing High Temperature And Corrosion Resistant
Specially designed for protecting applications in extreme electrical
Chemical and thermal environment.
Features
• Chemical insert
• High temperature resistance
• Continuous operating
• Temperature:-65°C-200°C
• Corrosion resistance(acid/alkali resistance, chemical reagents oil-proof)
• High pressure resistance
• Standard: UL224 VW-1 C-UL CSA22.20FT
• ULfile number: E203950
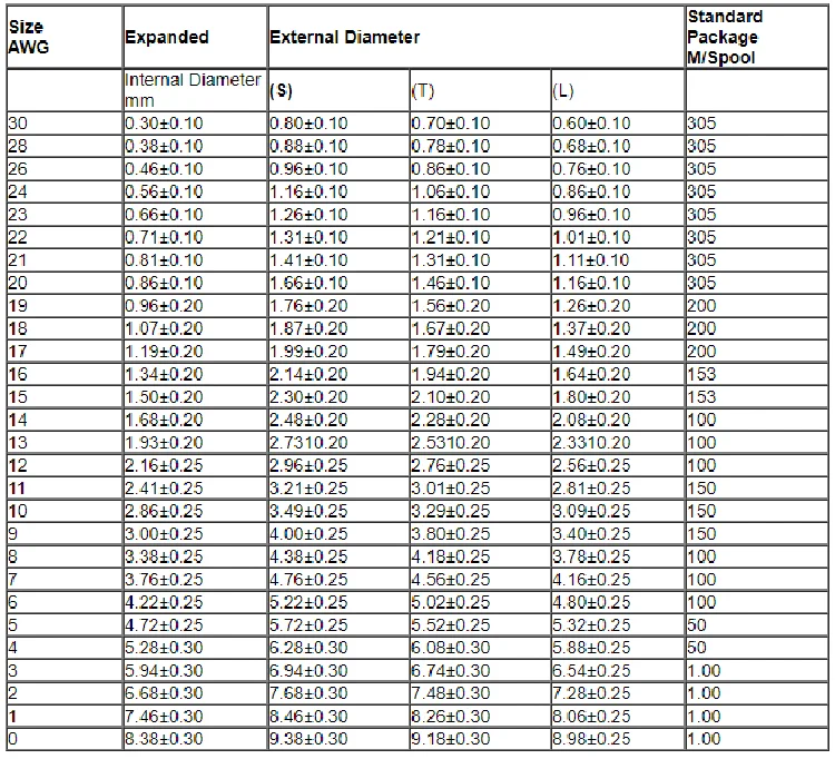
Dimensions

Technical Data
| I Property | Method Test | Standard I |
| Tensile Strength(MPa) | ASTMD2671 | m25 |
| Elongation(%) | ASTMD2671 | M300 |
| Flammablity | VW-1 | Pass |
| Dieletric strength(kV/mm) | IEC 60243 | N26 |
| Volume resistivity(Q.cm) | IEC 60093 | >1X1014 |
![20220817153427_45013[1].jpg](http://sc03.alicdn.com/kf/Hc70a4c490c35442aa0aa65edac854e17s/123217205/Hc70a4c490c35442aa0aa65edac854e17s.jpg)







Professional Production Quality is Reliable
Q1 . Which certifications or test reports do you have?
A : We have UL,ROHS and REACH.
Q2 . How to ship my order? Is it safe?
A : For small package, we will send it by Express,such as Fedex, UPS,TNT, DHL and so on.
For big packages, we will send them by Air or By sea or by Train. We will use good packing and ensure the safety. We will be responsible to any product damage caused on delivery.”
Q3 . What about your delivery time?
A : We have a lot of products in stock. We can send the stock products in 3 work days.
If without stock,or stock is not enough, we will check the delivery time with you.” (Usually is 3-7days).
Q4 . Can you provide samples? Are the samples free?
A : Yes. We can provide samples.
Usually for our standard products with stock, we can supply samples free for testing.
Q5 . Could I put my own logo on it?
A : Sure, of course, we are a professional manufacture and have over 10 years OEM experience.
New products from manufacturers at wholesale prices