Share on (1600790222745):
PVC insulated flexible wirecable
1. Purpose: This product is suitable for the connection of household appliances, small electric tools, instruments and power lighting devices with AC rated voltage of 450/750V and below.
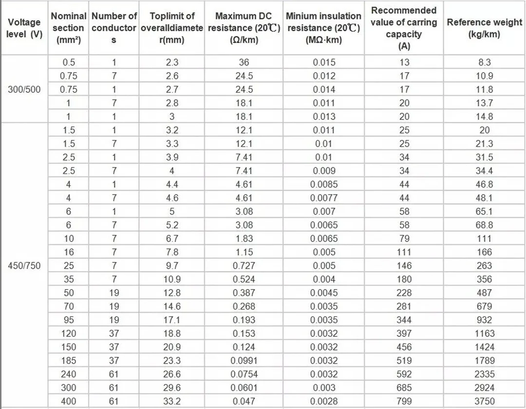
2. Product standard: GB5023, 3-85 "Rated voltage 450/750V and below PVC insulated cable (wire) connection with flexible wire"
3. Use features: 1) U0/U is 450/750V, 300/500V and 300/300V. 2) The long-term allowable working temperature of the cable: RV-105 type should not exceed 105 ℃; other models should not exceed 70 ℃

1. Use as home appliance wiring cable, building wire
2. Use as electrical and electronic equipment internal connecting wire
3. Use as lighting wire
4. House wiring cable





1. The insulating material is made of high-quality PVC, which can meet the national standard. The conductor and insulating structure are tight, not loose, and have good flame retardant ability. The surface of the wire is fine, acid and alkali resistance , and corrosion resistance.
2. The wire has excellent electrical insulation properties and can be used in relatively complex environments.
3. The conductor is made of high-quality oxygen-free red copper, with a compact structure, bright copper wire, and the resistance conforms to the national standard.







New products from manufacturers at wholesale prices