Share on (1600816664247):
Carbon Nanotube Masterbatches are now available in
| Carbon nanotube PC masterbatch | 15% Carbon nanotube |
| Carbon nanotube PP masterbatch | 20% carbon nanotubes |
| Carbon nanotubes ABS masterbatch | 20% carbon nanotubes |
| Carbon nanotubes PA6 masterbatch | 15% carbon nanotubes |
| Carbon nanotubes PA66 masterbatch | 15% carbon nanotubes |
| Carbon nanotubes LDPE masterbatch | 15% carbon nanotubes |
Carbon Nanotube masterbatches are polymer pellets with multi walled carbon nanotubes dispersed in the polymer at concentrations of 10-20wt%.
The masterbatch can then be “let down” or diluted for further processing into parts made from conductive plastics and polymers.
Please get in touch with me for more datas like the following,thanks
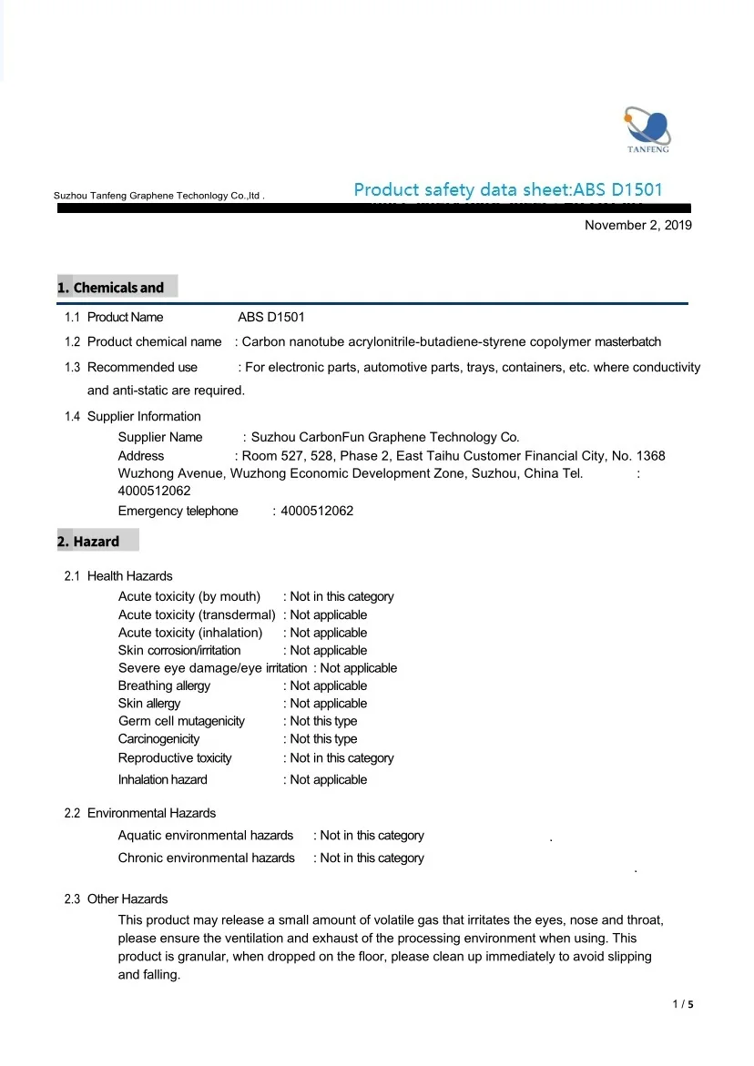
Product safety data sheet:





Technical Data Sheet:







Lead time: within 15-30working days after advanced payment received.
Packing: wooden box or cartons as your requirements.
MOQ: 10 units
Delivery port: Shanghai,Ningbo or Shenzhen
![]() | Suzhou Tanfeng Graphene Technology Co.,Ltd in China ---A professional earliest supplier of graphene,carbon nanotube,fullerene,graphene heating clothes,waist belt,neck belt,kneecap and many other graphene heated products and so on.Has established long term cooperation with Tsinghua University, Fudan University, Chinese Academy of Sciences, University of California at Berkeley and other well-known domestic and foreign research institutes for Research and Development. Graphene physical therapy heated products is our mainly development direction now.Our graphene heated products not only could keep warm but also have the effect of physical therapy.It will bring a new experience to human beings |
Our goal is to provide customized solutions for the market and customers, whether it is a graphene heated product or graphene raw materials, as long as the customer needs, we will do our best to do the best. For any customer advice and feedback, we will give patient and meticulous response and equal treatment.For any customer inquiries, we will give the most professional and most reasonable offer with fastest speed.
We are grateful for the customer's complaint, because this is the driving force for our progress.
We are never satisfied with the status quo, and be tireless on the road of innovation and pursuing professional knowledge.
For any order of the customer, it will be completed on time by mass.
[Q]: Are you a manufacturer or a trade company?
A : We are a graphene therapy heated products' factory, and we have our own foreign trade department, we market our own products.
[Q]: What is your MOQ?
A :Usually 1-10 pieces
[Q]: What is your time of making samples?
A :Usually we will spend about 5-25 working days to make samples.
[Q]: What is your delivery time?
A :10-15 working days.
[Q]: What is the shipping port?
A :Shanghai,Ningbo or Shenzhen
[Q]: How can I get your quotation?
A :Please let me know the product details you need,your purchase quantiy and other requirements,etc print.
We will provide the quotation according to your request as soon as possible.
[Q]: What kind of product you can produce?
A :We can produce all kinds graphene heating products.
New products from manufacturers at wholesale prices