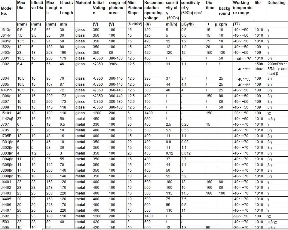
M4011 glass tube for Geiger Counter Kit The tube for Nuclear Radiation Detector GM Tube

Share on (1600933371317):


Price:

Quantity:


Product Overview

Description


Geiger Mueller Tube ,geiger muller tube
Geiger counter ,Radiation detector ,GM tube ,M4011 glass tube,Nuclear radiation detection sensor, M4011 metal geiger tube


 


 


.jpg


0.1622 s.