500vac capacitor cbb61 3uf 4uf 5uf 8uf Capacitor 350vac 40 85 21 50 60hz cbb61 fan capacitor

Share on (1601123721986):


Price:$0.95

Quantity:


Product Overview

Description


01


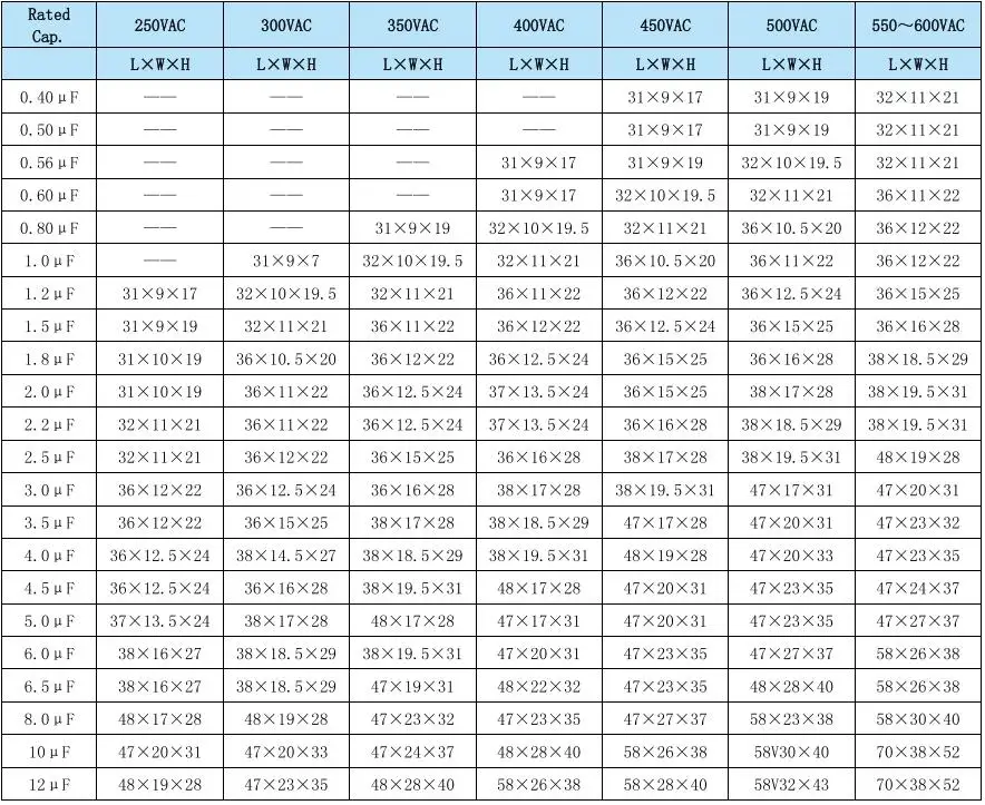
Capacity and sizes


500vac capacitor cbb61 3uf 4uf 5uf 8uf Capacitor 350vac 40 85 21 50 60hz cbb61 fan capacitor


 


Product Structure

Medium: metallized polypropylene film;

Shell: Plastic shell package;

Internal potting: resin filling (UL94 V-0);

Features

Low loss and low internal temperature rise;

High reliability,Self-healing property,Long lifetime;

Applications

Fans, ventilators, air purifiers, etc;

Starting and running of various AC motors;

 
























































Rated Voltage


110V.AC-600V.AC 50/60Hz


Operation life time


Class C


Capacitance Range


0.4µF~12µF


Climatic Category


40/70/21, 40/85/21


AC Test Voltage Between Terminals


2.0UN/3S


Voltage Test Termin to Case


2000V.AC 2Un+1000vac


Capacitance Tolerance


±5%


Dissipation Factor


≤0.0020 (100HZ)


Insulation Resistance


≥3000 S


Safe Class


S0-S3

  Fault Current  UL, CUL 10000AFC(UL 810)

Product certification


CQC, UL, CUL, VDE, TUV, CB, CE




 size.jpg

cbb61-303

Company profile

Company profile

Hd880df_11

Exhibitions (2)

1_15

clents and exhibitions

.jpg

 

packing


 

contact us.jpg

 

QQ20231222153341.jpg
 


0.1816 s.