Share on (1601243663525):
5kw 300rpm 10kw 15kw 20kw 30kw 50kw 3 phase low rpm permanent magnet generator
Main Features:
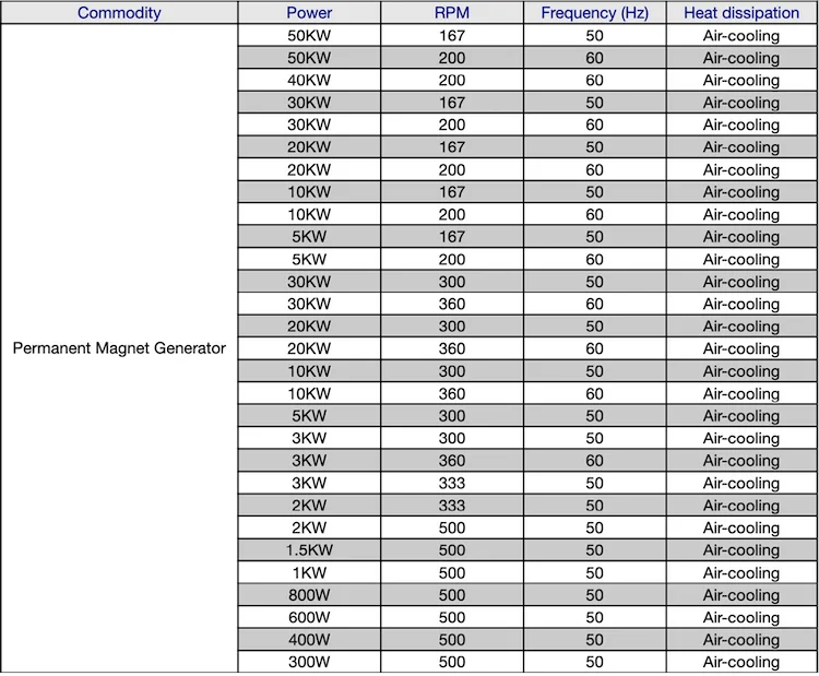
We Also Provide Permanent Magnet Generator with different Power and RPM. If you have RPM
requirements, pls contact us directly.




New products from manufacturers at wholesale prices