Share on (251335343):
Large aluminum electrolytic capacitors
CD135
Large aluminum electrolytic capacitors
YZPST-CD135
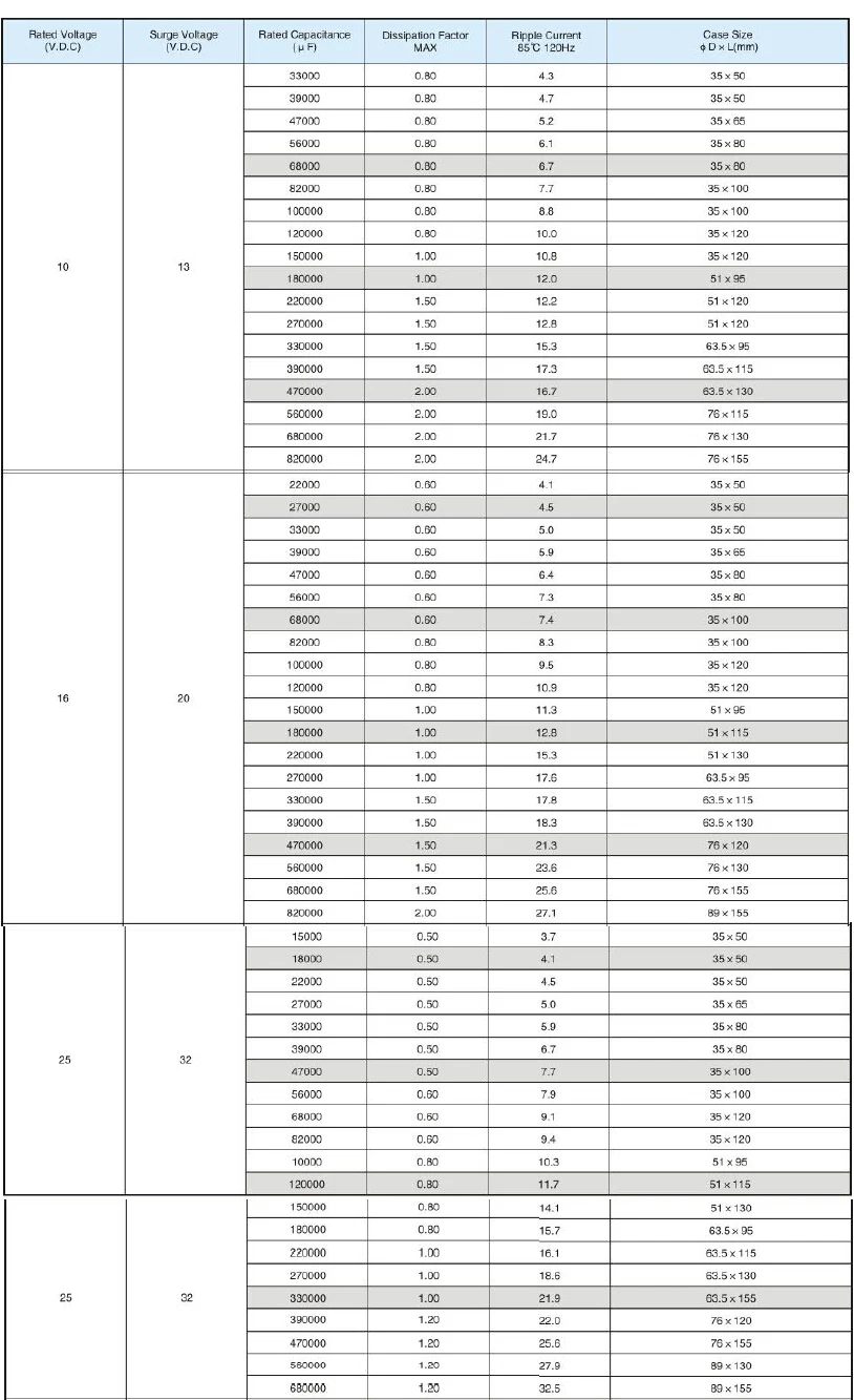
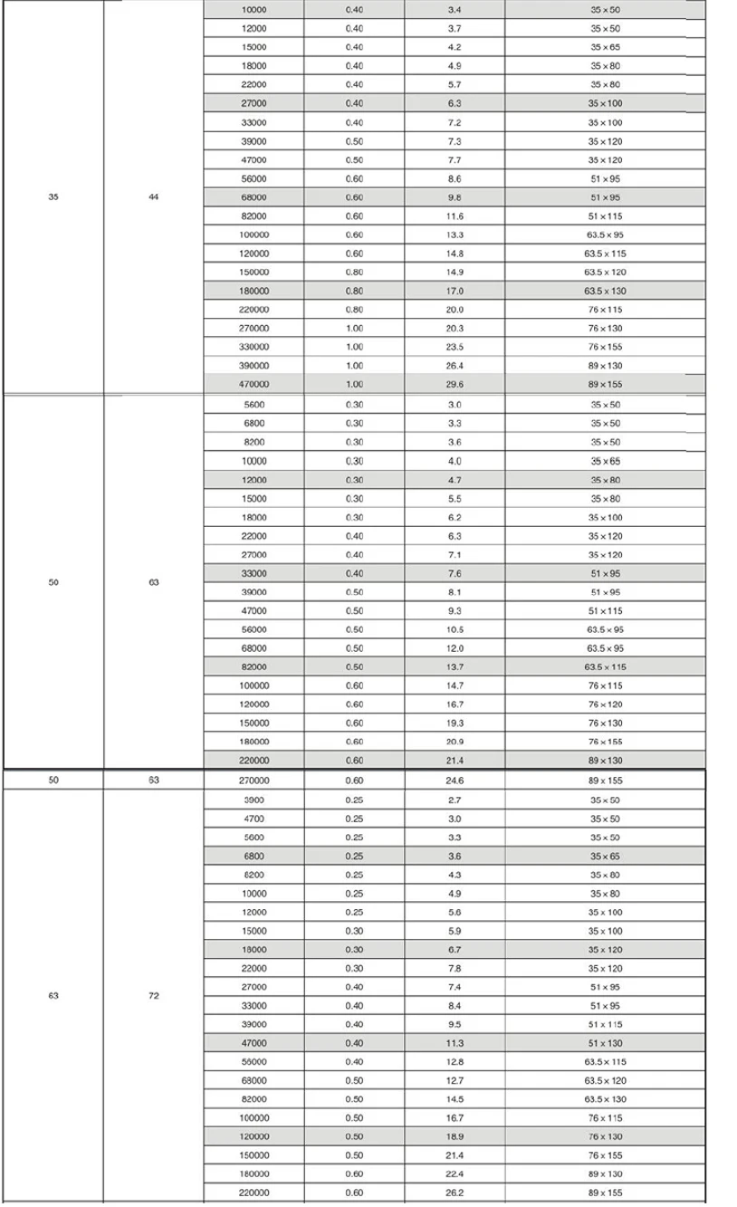
electrolytic capacitors is High ripple resistance, adjustable size, 85 degree, 2000 hours, can be used in high-power power power supply, frequency converter and other circuits.








New products from manufacturers at wholesale prices