Share on (60581048692):

Gypsum calcination rotary kiln
institutes in Tianjin, Nanjing and Hefei by using domestic advanced technology, and the product can match 3000~10000t/d large new dry process cement production line. The
company has a first-rate rotary kiln development, research and design team, perfect test and inspection means and excellent large rotary kiln manufacturing equipment and
manufacturing technology, and has formed a complete technology and production system integrating rotary kiln design, manufacture, install and debugging service.
CITIC IC gypsum calcination rotary kiln technical characteristics:
♦ Kiln body is made of high quality composed of carbon steel or alloy steel plate and automatic welding;
♦ Tyre,Support Roller,Open gear adopts alloy cast steel;
♦ Sliding bearing with large gap not scraping tile bearing;
♦ Transmission device adopts hard tooth surface reducer, flexible diaphragm coupling, dc motor;
♦ Adopts hydraulic gear wheel;
♦ Preheater scales were used respectively to veiw of kiln head, and cylinder pressure tight seal;
♦ A slow drive device.
With the arrival of rotary kilns, cement manufacturing processes became sharply defined according to the form in which the raw materials are fed to the kiln. Raw materials were
either ground with addition of water, to form a slurry containing typically 30-45% water, or they were ground dry, to form a powder or "raw meal".
In the Wet Process, the kiln system is fed with liquid slurry, the water then being evaporated in the kiln.
In the Semi-Wet Process, raw material is prepared as a slurry, but a substantial proportion (50-80%) of the water is mechanically removed, usually by filtration, and the
resulting "filter cake" is fed to the kiln system.
In the Dry Process, the kiln system is fed with dry raw meal powder.
In the Semi-Dry Process, a limited amount of water (10-15%) is added to dry raw meal so that it can be nodulised, and the damp nodules are fed to the kiln system.
The original rotary cement kilns were called 'wet process' kilns. In their basic form they were relatively simple compared with modern developments. The raw meal was supplied
at ambient temperature in the form of a slurry.
A wet process kiln may be up to 200m long and 6m in diameter. It has to be long because a lot of water has to be evaporated and the process of heat transfer is not very efficient.
The slurry may contain about 40% water. This takes a lot of energy to evaporate and various developments of the wet process were aimed at reducing the water content of
the raw meal. An example of this is the 'filter press' (imagine a musical accordion 10-20 metres long and several metres across) - such adaptions were described as 'semi-wet' processes.
The wet process has survived for over a century because many raw materials are suited to blending as a slurry. Also, for many years, it was technically difficult to get dry
powders to blend adequately.
In a modern works, the blended raw material enters the kiln via the pre-heater tower. Here, hot gases from the kiln, and probably the cooled clinker at the far end of the kiln, are
used to heat the raw meal. As a result, the raw meal is already hot before it enters the kiln.
The dry process is much more thermally efficient than the wet process.
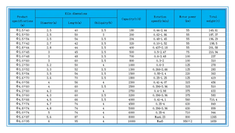
CITIC IC gypsum calcination rotary kiln technical data sheet:
![]() |

New products from manufacturers at wholesale prices