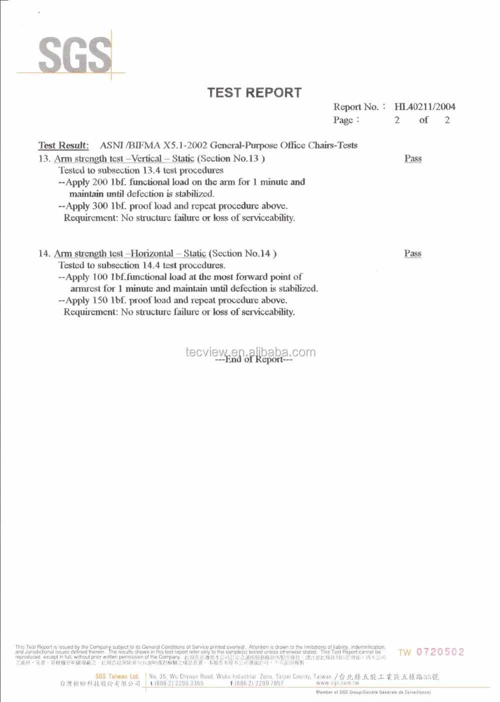
0.0192 s.