Share on (60820084425):



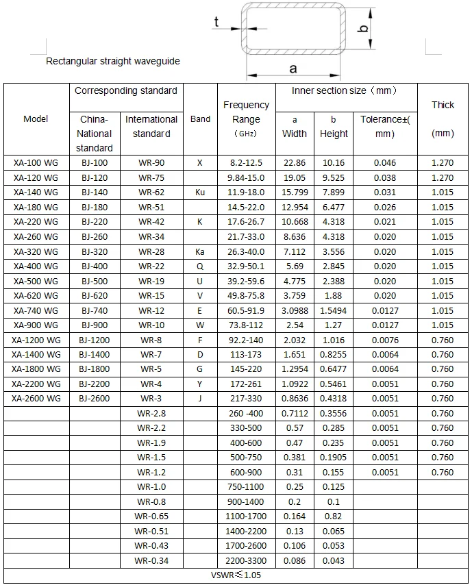
Model & Specicication




Industries serviced | Electronic and communication |
microwave and millimeter-wave communication systems | |
radar | |
Aerospace, Navigation,Radio astronomy | |
instrument and meter | |
Human body scanning security detector | |
Medical Equipment | |
Equipment | CNC Machining Center; CNC Lathes; CNC Milling Machines |
Punching and drilling machines; Stamping machines | |
Assembly lines; Whole set of measurement tools | |
Precision Processing | CNC machining; CNC milling and turning; laser cutting; drilling; grinding; bending; stamping; welding and so on |
Drawing format | JPEG; PDF; DWG; DXF; STP or according to your sample |
Material | Aluminum; Brass; Copper; Stainless Steel; Titanium; plastic or other exotic alloys |
Surface treatment | Andize; Polishing; Chrome/Zinc/Nickel/silver/Gold Plating;Sand blasting etc. |
Tolerance | +/- 0.005-0.05mm |
Inspection | 100% inspection before shipping |
Payment Terms | 50% T/T in advance,the balance before delivery |
Also pay us by Alibaba on line,that's an assurance for overseas customers |
About us
Chengdu Xixia Technology Development Co.,Ltd.is the dedicated developer, designer and manufacture of millimeter wave products.we has been engaged in the design and processing of precision mechanical parts in the field of microwave and millimeter wave technology for a long time,providing microwave cavity design and precision machining services for many domestic research institutions and key universities.
Our company is equipped with more advanced facilities and equipment,has a group of professional engineering and technical rich experience in precision machining.
There are office, supply and marketing department, production technology department, built a lathe workshop, milling workshop, assembly workshop, in company and strong processing capability.


our certification


Q1. How many years have you engaged in this business?
A1: Xexa company have engaged in this business more than 15 years, and we professional in microwave passive devices (radio frequency isolators, circulators, RF resistors, attenuators, coaxial loads and attenuators) and microwave passive components research, production, sales and services.
Q2. What is your MOQ (minimum order quantity) ?
A2: 1 piece.
Q3. How do you ensure the quality of products?
A3: Each products we made are based on international standards.Meanwhile, every product is strictly checked before loading.
Q4. What price you can offer?
A4: EXW, FOB, DDU, etc.
Q5.What’s your delivery time ?
A5: Production finished within 30 working days after receiving the deposit.
Contact us

The similar products you may like
New products from manufacturers at wholesale prices