Share on (62025535888):
Cnc Machine Tool Cast Iron Inspection Table measuring tools with T slot
Material: HT200-300
Standard: GB/T22095-2008
Specification: 100x200-3000x8000mm or customize
Surface: flat (accessories are available according to your requirement, like V, T, straight-shaped slots and tapped holes, long holes, grid lines, etc)
Hardness of the working surface: HB160-240
Surface treatment: hand-scraped, finish-milling or ground finish
Foundry process: sand casting or centrifugal casting
Molding type: resin sand molding
Painting: primer and face paint
Surface coating: pickling oil and plastic-lined or covered with anticorrosion paint
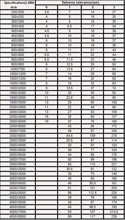
Surface flatness: Master, Working, Reference
Precision grade: 1-3
Working temperature: (20±5)℃
Packaging: wooden box



If your dimension of thet slot cast iron floor plate is standard in the sheet below,we have stock.





New products from manufacturers at wholesale prices