Share on (62199655979):
Airflow industry gas linear burner supplier
CE certified gas burners in accordance with European EN676 standard.Dual burner.
The nox and co emissions from the burner meet the European standard EN676, class 2.
Air conditioning on combustion head, equipped with butterfly flap combustion air chuck.Manually adjust the air flow.
The air inlet of the burner is designed to be optimally opened with a linear air baffle that closes to stop the heat from spreading to the fireplace.


Easy to maintain, the agitator can be taken out without removing the burner from the boiler and connected to the flange of the sliding boiler so as to adapt to the various protruding heads of the heat boiler.
Open hinges at both ends facilitate connection to the burner head.
Sound-absorbing material device to reduce fan noise.
The CE version of the gas line consists of running valves and safe electromagnetic drives, minimum pressure switches, pressure regulators and gas filters.
The burner can be fitted with a device to check valve seals.
Connection of gas line and error test connector.
Air delivery: high/low
Check for the presence of a flame by connecting a preset ion electrode with a microammeter.
Control panel, equipped with an operation display diagram with indicator lights.
Electrical cabinet is composed of aluminum alloy, protection grade IP55.
The 7-hole plug is used for power supply and constant temperature supply of burner.
The 4-bar plug is controlled according to the second stage operation.
Electrical protection grade IP54.
•Application:
Typical low temperature applications include humidity-controlled dual stage paint spray booths, general make-up air applications, packaged units, door heaters, grain drying, malt drying, etc.
Typical high temperature process air applications include spray dryers, chemical dryers, fresh air oven heating, drying, baking and curing operations, metal parts finishing and all fresh air heating applications up to 650° C.
These burners can also be mounted downstream of a steam or hot water coil thus bringing the air to a higher temperature. This can boost the capacity of an existing installation.
PRODUCT DESCRIPTION
HEATFLAM" burners are packaged nozzle-mix line burners, especially designed for fresh or low temperature recirculating air heating applications.
The HEATFLAM" burner is a value engineered design utilizing asingle aluminum extrusion for both its main air and fuelmanifolds. Its single-piece, seamless body designeliminates burner leakage and maximizes burner performance.

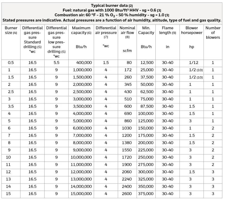
SPECIFICATIONS OF HEATFLAM BURNERS


FAQ
Q: Are you trading company or manufacture?
A: Both.
Q: What's your product range?
A: We specialize in product solenoid valves,butterfly valves,pressure push-button valves, ignition transformer,burner controller,electric actuator, and other combustion accessories.
Q: What's your strong product?
A: Solenoid valves,butterfly valves,pressure push-button valves.
Q: Do you provide sample? Is it free or extra?
A: Yes, we could offer the sample for free charge but do not pay the cost of the freight.
Q: How long is your delivery time?
A: Generally it is 7 days if the goods are in stock, or it is 30 days if the goods are not in stock, it is according to the quantity.
Q: What is your terms of payments?
A: * Payment ≤ 10000 USD,100% T/T advance .
* Payment ≥ 10000 USD,30% T/T advance and settle the 70% balance before delivery.
New products from manufacturers at wholesale prices