Share on (62316214381):
1: Can switch on and off frequently
2: 1~2 seconds fast response time to full power heating
3: Output power can be adjusted simply by voltage regulator (0V~lamp rated voltage)
4: Accurate(±1 ℃)heating temperature control with SCR regulator
5: Small installation space, flexible horizontal or vertical burning position
6: For all industrial applications, the highest working temperature up to 1000 ℃
7:Special Gold reflector (90% reflective rate) and Nano-ceramic reflector (70% reflective rate) coated on lamp quartz surface to reflect and increase the infrared radiation on heated objects
8: Different objects different matched IR radiation wavelength Short wave (1.0~1.4μm), Fast response medium wave (1.4~2.0μm), Carbon medium wave (2.0~2.5μm), Medium wave (2.2~3.2μm).
9: Higher density power output The highest surface power output of short wave lamp is 200KW/M2, Fast response medium wave lamp is 130KW/M2, Carbon medium wave lamp is 100KW/M2, Medium wave lamp is 60KW/M2.
10: We guarantee 5000 hours average working life.



Voltage | Wattage | Total length | Heated length | Cross section | Reflector | Burning position | Type |
400V | 4000W | 1700mm | 1600mm | 33×15mm | Gold | Horizontal | B |








Fast response medium wave infrared lamp can be switched on/off the same as short wave lamps in a short time, and the range of IR radiation wave is 1.4-2.0μm. The especial fast medium wave can heat the surface and thin layers quickly. Fast medium wave lamps can be made in all lengths up to 6 meter long. The twin tube designed lamps are stable and its high power density lamp can transfer high energy to the long material.
Fast response medium wave twin tube IR lamp | ||||
Peak wavelength | 1.4-2.0 μm | |||
Response time | 1-2 seconds | |||
Heating filament | Tungsten | |||
Filament working temperature | 1500℃-1800 ℃ | |||
Max. surface power density | 130kw/m2 | |||
Cross Section | 23×11mm | 33×15mm | ||
Max. Length | 4.5m | 6.0m | ||
Reflector | White ceramic or Gold | |||
Burning position | Horizontal or Vertical | |||
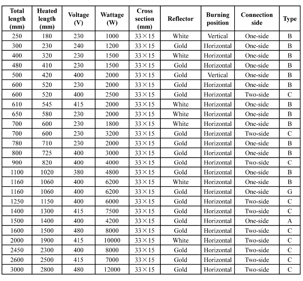
According to the configuration of different heating filament and ending cables, medium wave twin tube infrared lamps can be produced in the following one side or two side connection configuration.


According to the configuration of different heating filament and ending cables, twin tube infrared lamps can be produced in the following one side or two side connection configuration. And our infrared lamps can be competely as alternative lamps for Heidelberg machine.
Heidelberg | ||||||||||
Total length LT(mm) | Voltage (V) | Wattage (W) | Type | Alt part no. | Printing Machine | |||||
900 | 400 | 6950 | L | M6.170.0301/01 | Speedmaster 74 | |||||
900 | 480 | 4200 | B | SM74-FMW-B | Speedmaster 74 | |||||
740 | 415 | 3300 | B | G4.170.0101 | Speedmaster 52 | |||||
740 | 415 | 3300 | B | 53.170.1311 | M Offset/ MO | |||||
1100 | 415 | 3500 | A | 91.170.1311 | Speedmaster 102 | |||||
1200 | 400 | 5400 | H | C7.170.0301/01 | Speedmaster 102 | |||||
1100 | 415 | 2500 | B | 91.170.1411 | Speedmaster 102 | |||||
1125 | 480 | 6000 | B | SM102-FMW-B | Speedmaster 102 | |||||
1160 | 400 | 6200 | G | F7.170.0771 | Speedmaster 102 | |||||
800 | 415 | 3500 | B | 83.170.1311 | Speedmaster 72 | |||||
800 | 415 | 1900 | B | 83.170.1411 | Speedmaster 72 | |||||
1160 | 400 | 6200 | G | F7.170.0771.01 | XL105 | |||||





Nanjing E-DEN Lighting Technology Co., Ltd., a professional manufacturer and trading company established in 2011, specialized in producing infrared heating lamps and providing IR heating solutions. Our customers spread all over the Euro-Asia and south and north America, such as Germany, Italy, UK, Spain, USA, Canada, Russia and other dozens of countries. We also offer OEM/ODM manufacturing service for our customers all over the world. We can design and produce infrared heating lamps or heaters according to your requests. We manufacture singe and twin tube IR heating lamps in short wave, fast response medium wave, carbon medium wave and medium wave. Base on reliable quality and honest reputation, our IR products pass the ISO 9001 international quality certification and CE safety certificate. We always do our best to provide our customers highest quality products and most satisfactory after-sales service.






New products from manufacturers at wholesale prices