Share on (699121254):
Panax Ginseng Root P.E. with Low Pesticides residues
Powdered Extract from root of Asian Ginseng (Panax ginseng C.A. Meyer).
Botanical name Panax ginseng C.A. Meyer
Part used 5-6 year old Roots
Our Ginseng Extract is made exclusively from 5-6 year old roots of Panax ginseng C.A. Meyer (Araliaceae Family). The standardized extract ensures the presence of the biologically active ginsenosides.
Specification 5%, 10%, 15%, 30% Ginsenosides HPLC; 80% Ginsenosides UV

Introduction
Panax ginseng, used medicinally for thousands of years in China, Korea, and Japan, is well known as an adaptogen and a restorative tonic that is widely used in traditional Chinese medicine (TCM) and Western herbal preparations., Eclectic uses for Panax ginseng include fatigue, infertility, liver disease, amnesia, colds, menopause, and erectile dysfunction.
Panax ginseng Quality Issues
There are many species of Panax, which leads to some confusion in the literature. However, the two species that have been the most extensively researched and used are Panax ginseng and Panax quinquefolius. Another botanical species, although commonly called Siberian ginseng (Eleutherococcus senticosus), is not a true ginseng. This monograph reviews the constituents, mechanism of action, safety, and clinical efficacy of Panax ginseng.
Thin-layer chromatography (TLC) for identification of Panax ginseng and Panax quinquefolius

A: Root of Panax quinquefolius; B: Root of Panax ginseng; C & D: Panax ginseng root P.E. samples produced by our factory E:Panax quinquefolius root P.E.
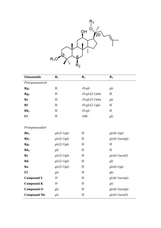
Determination of Ginsenosides in our Panax ginseng root P.E. by HPLC

Chromatogram | Ginsenoside: 1. Rg1 2. Re 3. Rf 4. Rb1 5. Rg2 6. Rc 7. Rh1 8. Rb2 9. F1 10. Rd 11. Rg6 12. F4 13. Rk3 14. Rh4 15. (20S) Rg3 16. (20R) Rg3 17. Rk1 18. Rg5 19. Compoung K 20. Rh2 |
Pharmacological effects of Ginsenoside
Rg1- modulates humoral and cellular immunity
Rh2, Rb1, Rb2, Rc- provide anti-proliferative activity against tumour cells
Rh1, Rh2, Rh3, Rg3- induce tissue differentiation and correct adhesive cellular interactions
Rg3, Rd1-k- demonstrate antimetastatic activity and inhibit multidrug resistance
Rh- enhances DNA-polymerase corrective activity which is important for antimutagenity
RcM1- induces apoptosis in tumour cells
Rb1, Rg1, Rg3- inhibit tumour angiogenesis
Rb1, Rb2, Re, Rg1- up-regulate acticities of antioxidant enzymes
Rb1- prevents neuronal apoptosis (stimulating Bcl-x(L) expression and down-regulating caspase-3 level)
Low solvent residue and pesticide residue (quintozene and procymidone free) (meet US FDA/EP regulation).
Table 1 (Pesticides residues in Panax ginseng extract tested by GC-MS)
S/N | Pesticide | Results |
1 | Pentachlorobenzene (PCB) | 10 ppb max. |
2 | Tecnazene (TCZ) | 10 ppb max. |
3 | 2,3,5,6-Tetrachloroaniline (TCA) | 10 ppb max. |
4 | Hexachlorobenzene (HCB) | 10 ppb max. |
5 | α-BHC | 10 ppb max. |
6 | β-BHC | 10 ppb max. |
7 | Delta-BHC | 10 ppb max. |
8 | γ-BHC | 10 ppb max. |
9 | Quintozene (PCNB) | 10 ppb max. |
10 | Pentachloroaniline (PCN) | 10 ppb max. |
11 | Pentachlorothioanisole (PCTA)MPCPS | 10 ppb max. |
12 | O’P’DDT | 10 ppb max. |
13 | P’P’DDT | 10 ppb max. |
14 | Dieldrin | 10 ppb max. |
15 | Folpet | 10 ppb max. |
16 | P’P’-DDE | 10 ppb max. |
17 | DCPA | 10 ppb max. |
18 | Procymidon | 10 ppb max. |
Changsha Inner Natural Inc. supply full series of high quality Panax Ginseng Extracts to you.
Addition data
The product do not treated by irradiation
New products from manufacturers at wholesale prices