Сохранить в закладки 1600424136552:
germanium monocrystalline materials 99.999% pure zone-refined germanium ingot

| Appearance: | Hard and brittle, a silvery ash luster in trapezium-like bars.Melt germanium ingots cross-section is shaped as a trapezium. |
| Characteristics: | Lustrous, hard, grayish-white solid metalloid in the carbon group, chemically similar to its group neighbors tin and silicon. Purified germanium is a 'p-type' semiconductor material. Conductivity depends largely on added impurities. Attacked by nitric acid and aqua regia, but stable in water, acids, and alkalies in absence of dissolved oxygen, low toxicity. |
| Production Methods: | Crucible direct method and suspension zone melting method are used in industrial production. |
| Applications: | Most of today’s semiconductor production is based on silicon and germanium that widely applied in semiconductor, aerospace control, nuclear physics, optical fiber communication, infrared optics, solar cells, chemical catalyst, biomedical and other fields. |
GENERAL PROPERTIES
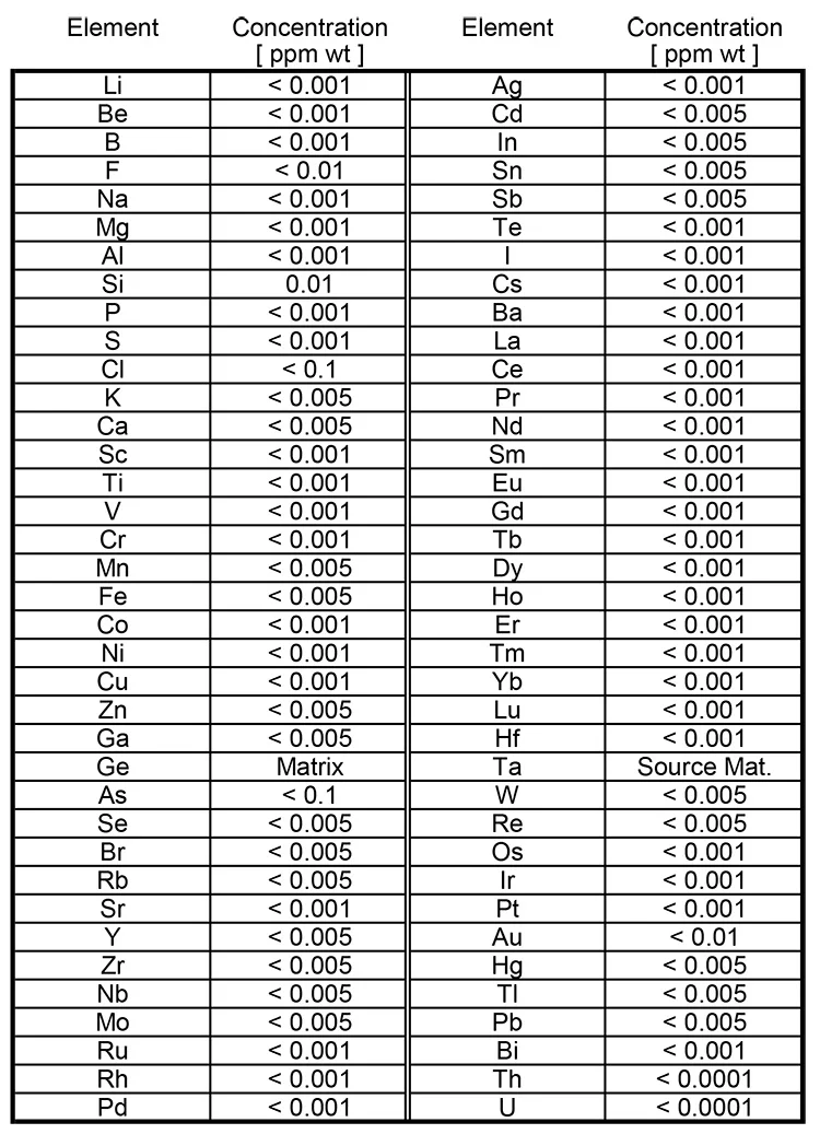
| Product Name | Zone-refined germanium ingot |
| Appearance | a silvery ash luster in trapezium-like bars |
| Standard | GB/T 11071-2006 |
| Molecular Formula | Ge |
| Molecular Weight | 72.64 |
| Melting Point | 937.4°C |
| Boiling Point | 2830 °C |
| Density | 5.35 g/mL at 25 °C(lit.) |
| Thermal Conductivity | 0.602 W/cm/K @ 302.93 K |
| Electrical Resistivity(20±0.5℃) | ≥50(Ω.cm) |
| Carrier Concentration/cm^-3 | ≤1.5x10^12 |
| Carrier Mobility(cm²/V.s) | 3.7x10^4 |
SPECIFICATIONS

GERMANIUM SERIES
| Germanium Series | CAS No. | Purity | Specification |
| Germanium Powder (Ge) | 7440-56-4 | 5N-6N | 100-325mesh |
| Germanium Granule (Ge) | 7440-56-4 | 5N-6N | 1-6mm |
| Germanium Ingot (Ge) | 7440-56-4 | 5N-6N | zone-refined germanium ingot |
| Germanium Oxide (GeO2) | 1310-53-8 | 5N-6N | 500mesh |
| Organic Germanium (Ge-132) | 12758-40-6 | 3N, 4N | 200mesh white powder |
31% germanium metal is used for fiber-optics, 31% infrared optics.
19% PET polymerization catalysts and 13% electronics and solar electric applications.
The remaining 6% germanium went into such uses as phosphors, metallurgy, and chemotherapy.


Item: germanium monocrystalline materials 99.999% pure zone-refined germanium ingot.

| Package: | 1-2kg per germanium ingot, standard package. |
| Shipping Way: | By Sea, Air, Couriers such as FedEx, UPS etc. |
| Leading Time: | Depends on your requirements. We have more than 100kgs Germanium in stock,after order confirmed,we can arrange shipment at once. If out of stocks,we are direct manufacturer,we can arrange immediate production. |







Новинки товаров от производителей по оптовым ценам
