Бытовая прочная портативная электростанция, бесперебойный источник питания для использования на улице и в кемпинге
285,00 $
Сохранить в закладки 62425018245:
Standard | ⑴ISO 8458-2:2002、⑵EN 10270-1:2001、⑶JIS G 3521-91、⑷JIS G 3522-91、⑸GB 4357-89 |
Grade | 45#~70#,72A,72B,82b,65Mn,201,301,304 etc. For more information, please see Table 1 below. |
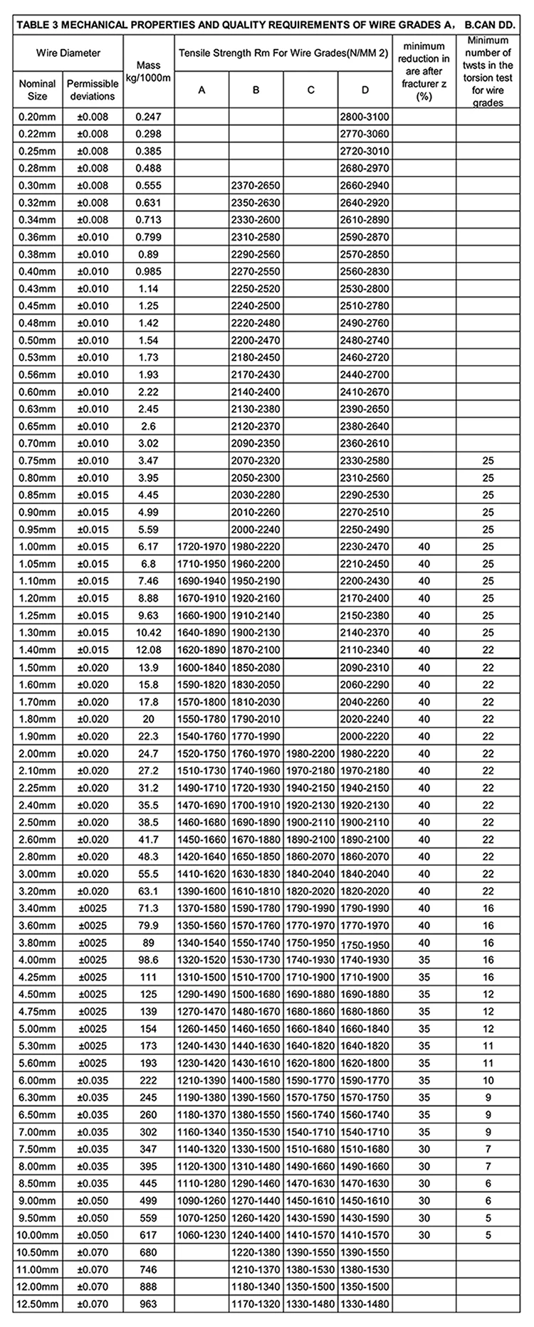
Diameter | 0.2mm-12.5mm |
Quantity | 10kg/per sample or customize |
Tensile Strength | about 1060-3100, for more information, please see Table 2 below. |
Surface | Black,Smooth,Galvanized, No-burr, Plating etc. |
Delivery Package | coil, wooden box, Iron barrel packaging, pallet, Wire rack etc. |
Processing | Squashing/ Cutting/ StraightenIng/ Bendiing/ Plating etc. |
Новинки товаров от производителей по оптовым ценам







