Share on (1100008360460):

гиалуроновая Кислота Порошок с Низким Молекулярным Весом В Оптовых Поставок
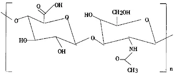
гиалуроновая Кислота, ГА, является своего рода биологического мукополисахаридов, широко существует в человеческих внеклеточного матрикса, имеет важные физиологические и фармакологической активности. но с увеличением возраста, ГА в организме человека будет понемногу и делает человека приходят старые быстро, так что мы можем сделать вечную молодость, заполнив ГА.
Пищевой:
устные ГА через переваривания и всасывания, увеличить содержание эндогенных HA, сделать кожу влажной яркий, полный упругости.
ГА также играют важную роль в воде смазки в другие ткани и органы, например, в полость сустава, кровеносные сосуды, сердце и мозг. в этих тканях, ХА сокращение может привести к артриту, атеросклероз, пульс расстройства и атрофии мозга.
косметический Класс:
ГА является лучшим природным содержанием влаги в высокого класса косметики, имеет хорошую совместимость, может быть добавлен к почти любой красоты в косметической, широко использовать в крем, лосьон, сущность, очищающая пена, шампунь и т. д.
на, общее содержание 0.05-0.5%.

циндао Совместных и Лаки Industrial Co., Ltd | |
Лист Данных по Безопасности материала (MSDS) | |
гиалуроновая Кислота | |
1.ИДЕНТИФИКАЦИИ ПРОДУКЦИИ Odorlessибезвкусный белыйводы. растворимые в воде с образованием вязкого раствора. очень разные. Название продукта:гиалуроновая Кислота. химическое Название: Нет в наличии химическая Формула:
Номер CAS: 9004-61-9 происхождение:микро-бактерий, Fermentation | 7. ИДЕНТИФИКАЦИЯ ОПАСНОСТИ вдыхание: Вдыхание пыли может вызвать раздражение дыхательной системы, вызывая кашель и боль в горле. опасных в случае попадания в глаза (раздражающего). немного вредно в случае контакта с кожей раздражитель), после приема препарата, из ингаляции. повторить или длительное воздействие не известно, чтобы усугубить заболевание. |
2. ФИЗИЧЕСКИЕ и ХИМИЧЕСКИЕ СВОЙСТВА температура Плавления:не доступны температура Кипения:не доступны Температура вспышки:не доступны плотность::0.2-0.4 г/мл Давление пара:не доступны дисперсионные Свойства:Solubleв воде. растворимость:полностьюрастворим в холодной воде. рн (1% растворution/вода): 6.0-7. 5. | 8. МЕРЫ ПЕРВОЙ ПОМОЩИ глаза:не орошать глаза. в случае яrrigate глаза с тяжелым поток воды, по крайней мере 20минут. обратитесь к врачу, если симптомы сохраняются. кожи:Nonirritant to skin.
при проглатывании: Прополоскать рот. не вызывать рвоту. обратиться за медицинской помощью. |
3. СТАБИЛЬНОСТЬ и РЕАКТИВНОСТЬ стабильность:The product is stable. нестабильность Температуры:не доступны. Нестабильного положения:не доступны. несовместимость с различными веществами:не доступны. полимеризация: Нет. | 9. МЕРЫ ПО ТУШЕНИЮ ПОЖАРА воспламеняемости: может быть горючих газов при высоких температурах Средства пожаротушения: пена, двуокиси углерода для большихпожаров, сухой порошок для мелких пожаров не используйте струей воды. Процедуры Пожаротушения: пожарные должны носить полный пожаротушения явка передач (полный Бункер передач) в том числе NIOSH утвержденных автономный дыхательный аппарат с анфас часть работает давления спроса или другие положительные режим давления. |
4. ОБРАБОТКИ и ХРАНЕНИЯ избегать контакта с глазами. тщательно вымыть после обработки. как и во всех химических веществ, промышленной гигиены должны соблюдаться при обработки этого материала. избегайте чрезмерного тепла. не обрабатывать или хранить рядом с открытым огнем, тепла или других источников воспламенения. держите контейнер плотно закрыты и в прохладном, хорошо проветриваемом месте. | 10. ИНФОРМАЦИЯ О ТОКСИЧНОСТИ УСТНЫЕ (LD50): остро: 5000 mg/kg [Крыса]. хроническое Воздействие на Человека:не доступны. другие Токсическое воздействие на Человека:никакой другой токсичен для человека.опасных в случае контакта с кожей раздражитель), после приема пищи, ингаляции. особые Замечания по Токсичности для Животных:не доступны. |
5. МЕРЫ ПО ПРЕДОТВРАЩЕНИЮ небольшие Разливы: использовать соответствующие инструменты, чтобы положить пролил твердого вещества в удобный контейнер для утилизации. отделка очистки распространения воды на загрязненную поверхность и распоряжаться в соответствии с местными и региональными властями требования. большой Разлив: используйте лопату, чтобы положить материал в удобный контейнер для утилизации. закончить уборку, распространяя воды на загрязненную поверхность и позволяют эвакуировать через санитарные системы. | 11. ТРАНСПОРТНАЯ ИНФОРМАЦИЯ ТОЧКА Классификация:не ТОЧКА контролируемый материал (Соединенные Штаты). идентификация:не применимо. специальные Положения, касающиеся Перевозки:не применимо. воздушного Транспорта IATA: См. соответствующий класс опасности |
6. КОНТРОЛЬ ВОЗДЕЙСТВИЯ и ИНДИВИДУАЛЬНОЙ ЗАЩИТЫ Защита органов дыхания: Где вероятного воздействия превышает акцепторовтаблица критериев, использования NIOSH/OSHA утвержденных средства защиты органов дыхания. защитная Одежда: Перчатки рекомендуется для предотвращения длительного контакта с кожей. защитные очки, очки, или маску рекомендуется для защиты глаз. другие Меры Защиты: Сотрудники должны соблюдать правила личной гигиены, стиральная открытые участки кожи, несколько раз в день и отмывания загрязненной одежды перед повторным использованием. | 12. ОТКАЗ ОТ ОТВЕТСТВЕННОСТИ эта информация относится только к конкретным материалом, который был и не может быть действительным такой материал, используемый в сочетании с любыми другими материалами или в любой другой процесс. такая информация должна быть лучшим из компании с знания и считает, точной и надежной, как из указанной даты. тем не менее, нет представления, гарантий или гарантий любого рода, явных или подразумеваемых, сделан в отношении ее точности, надежности или полноты и мы не несем никакой ответственности за любые убытки, повреждения или ущерб, прямые или косвенные, вытекающие из использования. он несет ответственность перед заказчиком, чтобы удовлетворить себя, чтобы the suitableness и полноты такой информации для его собственных конкретных использовать. |


New products from manufacturers at wholesale prices