Reduce Rating Oilwell Oil Extraction Machine Sucker Rod API sucker rod pumping unit

Share on (1600990736199):


Price:

Quantity:


Product Overview

Description



Products Description


Pumping Jack
The conventional beam pumping unit in conformance to API standards is simple in structure, strongly resistant to load and working
stably. It is easy to operate and repair and has a long service life.
Characteristics of this kind of pumping unit1. Pumping units conform to API Spec. 11E.
2. The structure is simple and reasonable, and it works smoothly with lower noise, easier to install and maintain.
3. Walking beam is a box or welded H steel beam with high strength, good rigidity and heavy capacity.
4. Gear reducer uses herringbone involutes or double circular-arc gears with high bearing capacity and long working life.
5. Horse head with swinging device moving side or upwards is flexible and convenient for well workover.
6. Central bearing and equalizer bearing feature heavy duty and reliable seal by adopting medium and wide series roller bearings.
7. Self-aligning bearing is used on equalizer to reduce mounting error and operating vibration.
8. Internal expansion or external contracting brake of safety device is easy, quick and effective for operating.




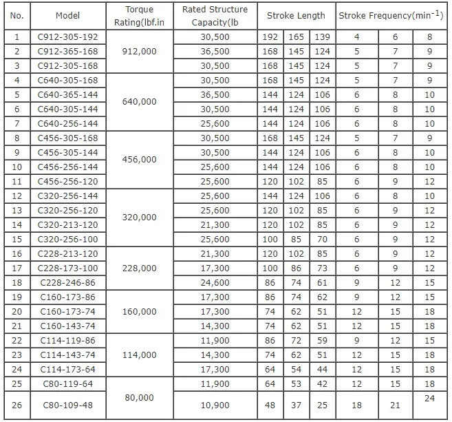
Product Paramenters






Company Profile



Puyang Zhongshi Group Company Ltd was founded in 1996,which is the restructured enterprise of Central Plains oilfield branch
company of SINOPEC . The company registered capital is 6083 million yuan,with annual output value 200 million yuan, 580 employees,
including more than 160 technical and administrative staff. Oil machinery is our main products, the leading products include
pumping unit,subsurface sucker rod pump, wellhead (Christmas Tree), pressure vessels,drilling solid control series products and
cementing accessories, We had attained ISO 9001 in 1998 and API Certificates in 2002 .


Our Advantages


All products purchased in our company are guaranteed to keep in good repair for one year. If quality problems happen in guarantee
period, our company will maintain for free. Additionally, our company provides technical support and fittings for life.
After-sales service isn't restricted by time and we will assign technical personnel to solve your problems immediately after
receiving telephone and hear feedback idea of users and deal with them in time. If you are caught in some problems when using our
products, welcome to contact us at any time.



· Zhongshi Group is the API certification enterprise for 15 years;
· ISO9001 quality management system;
· We provide on-site technical service,no matter when and where.


Certifications



Q: Are you trading company or manufacturer ?
A: We are factory.
Q: How long is your delivery time?
A: Generally it is 1-5days if the goods are in stock. or it is 15-20 days if the goods are not in stock, it is according to
quantity.
Q: What is your terms of payment ?
A: Payment<=1000USD, 100% in advance.


Contact Us


Tina Chen

ZHONGSHI GROUP CO.,LTD.
Mobile phone/wechat/whatsapp: +86 13213933762
Skype: tina(at)zspetro.com
E-maile: tina(at)zspetro.com
QQ:2603394399
Website: www.zscyb.com


0.1954 s.